✅ Proof (logic)
=== a proof (in a calculus) is a concrete and finite configuration of symbols, which adheres to the rules of a given calculus==
Requirements
It must be possible to check:
- If the configuration of symbols adheres to the rules of a given calculus
- What the premises and the conclusion are
Notation
-
- “it exists a proof for out of the premises
-
- → a proof with no premises
- = theorem
!IMPORTANT
-
- does NOT mean ” follows logically from the premises ”
- that would be:
- does NOT mean ” follows logically from the premises ”
Types
How to proof:
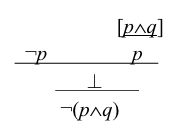
📖 Example:

- premises: {¬p}
- conclusion: ¬(p∧q).